| 일 | 월 | 화 | 수 | 목 | 금 | 토 |
|---|---|---|---|---|---|---|
| 1 | 2 | |||||
| 3 | 4 | 5 | 6 | 7 | 8 | 9 |
| 10 | 11 | 12 | 13 | 14 | 15 | 16 |
| 17 | 18 | 19 | 20 | 21 | 22 | 23 |
| 24 | 25 | 26 | 27 | 28 | 29 | 30 |
| 31 |
- 객체 검출
- object detection
- 1차 미분 마스크
- 논문 요약
- clip adapter
- vlm
- gres
- google summer of code
- referring expression segmentation
- gsoc 후기
- Object detection article
- transfuser++
- mobilenetv1
- gsoc
- 이미지 필터링
- 논문 리뷰
- res
- 에지 검출
- res paper
- blip-2
- grefcoco dataset
- TransFuser
- clip
- gsoc 2025
- 원격 학습 안끊기게
- 딥러닝 엔트로피
- grefcoco
- 엔트로피란
- E2E 자율주행
- 딥러닝 목적함수
- Today
- Total
My Vision, Computer Vision
[논문 요약/리뷰] Batch Normalization: Accelerating Deep Network Training by Reducing Internal Covariate Shift 본문
[논문 요약/리뷰] Batch Normalization: Accelerating Deep Network Training by Reducing Internal Covariate Shift
gyuilLim 2025. 3. 17. 20:14Batch Normalization: Accelerating Deep Network Training by Reducing Internal Covariate Shift
Training Deep Neural Networks is complicated by the fact that the distribution of each layer's inputs changes during training, as the parameters of the previous layers change. This slows down the training by requiring lower learning rates and careful param
arxiv.org
Author : Ioffe, Sergey, and Christian Szegedy.
Journal : ICML 2015
Published Date : 2015년 2월 11일
Keyword : Batch Normalization
Abstract
- 학습 하는 동안 입력 데이터는 네트워크 레이어를 거치며 분포가 계속 변화한다. 레이어의 파라미터가 역전파에 의해 계속해서 바뀌기 때문이다.
- 입력 분포가 변화하는 게 문제가 되는 이유는, 각 레이어가 새로운 입력 분포에 계속 적응해야 하기 때문이다.
- 입력 분포가 계속해서 변화하는 것을 Covariate Shift(공변량 변화)라고 한다.
- 이는 일반적으로 Domain Adaptation을 통해 처리했으나, 본 논문에서는 “Batch Normalization”으로 이 문제를 완화한다.
Problems
SGD Training Mechnism
- SGD(Stochastic Gradient Descent)는 입력 데이터가 $\mathrm x_{1 \dots N}$인 경우, 아래의 Loss($\ell$)를 최소화하는 $\Theta$를 찾는 것으로 정의된다.
$$ \Theta = \argmin_\Theta \frac{1}{N}\sum^N_{i=1} \ell (\mathrm x_i, \Theta ) $$
- 배치 크기가 m인 경우, 가중치의 그래디언트는 아래와 같이 미분값으로 계산된다.
$$ \frac{1}{m}\frac{\partial \ell (\mathrm x_i, \Theta)}{\partial \Theta} $$
Distributions of layers’ Inputs
$$ \ell = F_2(F_1(u, \Theta_1), \Theta_2) $$
- 임의의 변환 $F_1, F_2$ 가 있다고할 때, 파라미터 $\Theta_1, \Theta_2$는 Loss($\ell$)를 최소화하게끔 학습된다.
- 이 때 $\mathrm x = F_1(u, \Theta_1)$를 $F_2$의 입력으로 보면 아래와 같이 다시 정의할 수 있는데,
$$ \ell = F_2(\mathrm x, \Theta_2) $$
- 입력 데이터 $\mathrm x$에 대한 독립적인 네트워크 $F_2$를 학습시키는 것과 동일하게 볼 수 있다.
- 즉 레이어에 따른 입력 데이터 $\mathrm x$의 분포가 일정할 수록 학습되는 파라미터도 크게 변화하지 않아도 되기때문에 효율적이다.
Gradient Vanishing
- 가중치 소실 문제는 활성화 함수 시그모이드의 입력값이 커지게되는 경우 발생한다.

- 시그모이드 $g(x) = \frac{1}{1+\exp(-x)}$는 위와 같은 형태로, $|x|$가 커지면 그래디언트(미분)은 0에 수렴하게 된다.
- 역전파 수행 시 각 파라미터에 그래디언트가 더해지면서 업데이트가 되는데, 0으로 수렴해버린 그래디언트 때문에 파라미터가 더 이상 업데이트되지 않는 문제가 Gradient Vanishing이다.
- 이 문제를 해결하기 위해 활성화 함수를 ReLU를 교체하거나, 가중치 초기화를 적용한다.
- 하지만 입력 데이터의 분포를 일정하게 유지하면 활성화 함수의 입력값이 포화(Saturation)되는 것을 방지하여, 훈련이 더 가속화 될 것이다.
Whitening
- Whitening(백색화)란 평균을 0으로 만들고 분산을 1로 조정하는 변환을 말한다.
- 각 레이어의 입력에 대해 모두 Whitening을 수행하여 입력의 평균과 분산을 모두 같게할 수 있다.
- 하지만 이 방법의 문제는 학습을 무효화할 수 있다는 것이다.
- 예를 들어 입력 데이터 $\mathcal X={x_{1\dots N} }$이 있다고하자. $x = u + b$로, $u$는 전 단계 레이어의 출력, $b$는 bias이다.
- 이 때 정규화를 위해 원래의 입력 데이터에서 평균을 빼면 $\widehat x = x - E[x]$이 된다.
- 여기서 $E[x]$가 $b$와 독립적이라고 가정하고, 업데이트된다고 해보자.
$$ \widehat x = u + (b+\Delta b) - E[u + (b+ \Delta b)] = u + b - E[u+b] $$
- 그렇다면 위와 같이 $\Delta b$가 사라지는 상황이 만들어질 수도 있게 된다.
- 따라서 Whitening은 학습의 효과를 없앨 수도 있는 문제가 있다.
Contributions
- 훈련 과정에서 내부 노드들 간 분포 변화 현상을 내부 공변량 변화(Internal Covariate Shift)라고 한다.
- 본 논문에서는 Batch Normalization을 적용하여 이 문제를 완화시켜서 훈련을 가속화한다.
- Batch Normalization은 각 층의 입력값들의 평균과 분산을 일정하게 유지해서 네트워크가 포화되는 것을 방지하는 규제(Regularization) 역할을 한다.
Methods
- 각 레이어의 입력 데이터를 평균이 0이고 분산이 1인 분포로 정규화하는 Whitening과는 다르게, Batch Normalization은 전체 데이터셋을 기준으로 평균과 분산을 계산한다.
- 예를 들어 $d$차원 벡터 $\mathrm x = (x^{(1)}\dots x^{(d)})$가 있을 때, 전체 데이터셋을 기준으로 각 차원을 다음과 같이 정규화한다.
$$ \widehat x^{(k)} = \frac{x^{(k)}-E[x^{(k)}]}{\sqrt {Var[x^{(k)}]}} $$
- 하지만 단순히 각 층의 입력을 정규화하는 것만으로는 선형 영역으로 제한되어 표현력이 약화될 수 있다.
- 이게 무슨말이냐면, 정규화를 거치고나면 입력값들은 대부분 0에 가까이 몰려있을 것이다. 그런데 Sigmoid 활성화 함수는 0 근처에서는 선형성을 가지기 때문에, 비선형성이 억제된다는 말이다.
- 이를 해결하기 위해 두 개의 학습 가능한 파라미터 $\gamma^{(k)}, \beta^{(k)}$를 도입하여 정규화된 값을 스케일링하고 이동(Shift)시킨다.
$$ y^{(k)} = \gamma^{(k)}\widehat x^{(k)} + \beta ^{(k)} $$
- 여기서 $\gamma^{(k)} = \sqrt {Var[x^{(k)}}, \beta^{(k)}=E[x^{(k)}]$인 경우, 원래 값을 복원할 수 있다.
- 만약 미니 배치 단위로 학습되는 경우, 미니 배치를 기준으로 평균과 분산을 구해 정규화한다.
- Batch Normalization의 알고리즘은 아래와 같다.

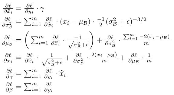
- 더 자세하게 들어가면, 역전파를 통해 가중치의 그래디언트를 계산하기 위해서는 Batch Normalization을 적용한 결과가 미분 가능해야한다.
- 논문에서는 Chain rule을 통해 미분 가능함을보인다.

- 이제 Batch Normalization의 마지막 단계로, 추론에서 어떻게 활용되는지 알아야한다.
- 당연히 추론 단계에서는 학습을 하지 않기때문에, 이미 학습이 완료된 $\gamma, \beta$를 사용한다.
- 학습 중에, 미니 배치에 대한 평균과 분산도 이동 평균(Moving Average)으로 계산하여, 전체 데이터셋의 정보를 반영하게끔 조정한다.

- 학습 동안 조정된 BN 파라미터들을 추론 단계에서는 Frozen한 후 사용한다.
Experiment

- (a)에서 BN이 적용된 경우, 더 빠르게 수렴되는 것을 확인할 수 있다.
- (b), (c)에서는 BN을 사용한 경우가 더 안정적으로 학습이 되는 것을 보여준다.

- Steps to 72.2%는 정확도가 72.2% 까지 도달하는데 걸린 학습 Step을 의미한다.
- BN을 더 많이 적용할수록, Step이 더 짧아지고 Max Accuracy도 증가한다.
Conclusion
- Batch Normalization은 Internel Covariate Shift를 완화하여 훈련 속도를 높인다.
- 또한 비선형성 이전에 적용되어 활성화 값의 분포를 안정화시키고, 모델이 더 빠르게 수렴하도록 돕는다.