Notice
Recent Posts
Recent Comments
Link
| 일 | 월 | 화 | 수 | 목 | 금 | 토 |
|---|---|---|---|---|---|---|
| 1 | 2 | 3 | 4 | 5 | 6 | |
| 7 | 8 | 9 | 10 | 11 | 12 | 13 |
| 14 | 15 | 16 | 17 | 18 | 19 | 20 |
| 21 | 22 | 23 | 24 | 25 | 26 | 27 |
| 28 | 29 | 30 | 31 |
Tags
- google summer of code
- gsoc
- 원격 학습 안끊기게
- 딥러닝 엔트로피
- 1차 미분 마스크
- 논문 리뷰
- Segmentation
- 기계학습
- 딥러닝 목적함수
- grefcoco dataset
- grefcoco
- 이미지 필터링
- 객체 검출
- Object detection article
- res paper
- gsoc 2025
- res
- reparameterization
- clip
- 엔트로피란
- object detection
- mobilenetv1
- gsoc 후기
- vlm
- referring expression segmentation
- clip adapter
- blip-2
- 논문 요약
- 에지 검출
- gres
Archives
- Today
- Total
My Vision, Computer Vision
[논문 리뷰/요약] DETR, End-to-End Object Detection with Transformers 본문
End-to-End Object Detection with Transformers
We present a new method that views object detection as a direct set prediction problem. Our approach streamlines the detection pipeline, effectively removing the need for many hand-designed components like a non-maximum suppression procedure or anchor gene
arxiv.org
Abstract

- DETR은 Object detection을 Direct set prediction problem으로 본다.
- 또한 NMS, Anchor generation과 같은 Hand-designed 요소를 제거하여 Pipeline을 간소화(direct)한다.
NMS(Non-maximum Suppression) : 하나의 객체에 대해 예측된 여러개의 Bounding box 중 중복되는 것들을 제거하는 알고리즘
Anchor generation : Anchor와 같이 사전에 정의되는 Greed box로, One-stage detector에서 사용
Introduction
- 기존 Object detector는 위에서 언급한 Postprocessing(NMS, anchor generation) 단계에 영향을 많이 받지만 DETR은 Postprocessing 단계를 없애고 End-to-end로 학습된다.
- DETR은 NLP의 Transformer를 변형한 구조인데, Main contribution은 아래와 같다.
- Bipartite matching loss : 예측값(predection)이 정답값(ground-truth)에 이분 매칭(bipartite)된 상태에서 loss 계산
- (Non-autoregressive) Transformer encoder-decoder : Non-autoregressive 구조로된 Decoder를 사용하여 예측값을 병렬로 출력한다.(parallel decoding)
Bipartite match graph(이분 매칭 그래프) : A집합에서 B집합으로 간선을 연결할 때, A의 요소 하나 당 간선이 하나인 그래프.
Non-autoregressive : 일반적인 RNN, Transformer는 Auto-regressive로, 예측값을 순차적으로 출력하지만 Non-autoregressive는 한 번에 여러개의 예측값을 출력한다. 이는 Object detection task와 이론적으로 상통하며, 연산량 측면에서도 효율적이다.
Object Detection Set Prediction Loss
- DETR은 하나의 이미지에 대해 N개의 고정된 예측값을 출력한다. 이 때, N은 이미지 안에 있는 객체의 수보다 크다고 가정한다.
- DETR의 손실함수는 다음과 같은 순서로 계산된다.
- 1. Prediction과 Ground-truth 매칭시키기(bipartite matching)
- 2. 매칭된 Prediction과 Ground-truth의 Loss 계산
- 각 단계에 대해 수식으로 살펴보자.
1. Prediction과 Ground-truth 매칭시키기

- $N$ : 고정된 길이의 Prediction의 개수이며, 나머지는 $\varnothing$(no object)로 padding된다.
- $y$ : Ground-truth 집합
- $\hat y = \{\hat y_i\}^N_{i=1}$ : N개의 Prediction 집합
- $\mathcal L_{match}(y_i, \hat y_{\sigma(i)})$ : 한 쌍의 Prediction과 Ground-truth의 matching cost를 구하는 함수
- 즉 $\hat \sigma$ 는 i번째 GT에 대응되는 Prediction의 index값을 의미한다.
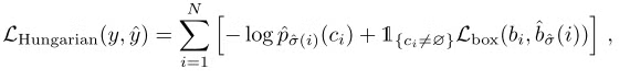
2. 매칭된 Prediction과 Ground-truth Loss 계산

- Hungarian 알고리즘은 주로 Bipartite graph에서 최적의 매칭을 사용되는 알고리즘이다.
- Prediction과 Ground-truth의 최적의 매칭을 찾은 후 Loss를 계산한다.
- Loss는 $\hat \sigma(i)$ 예측값이 $c_i$ 일 확률에 log를 취한 값 + Box loss 이다.
- Box loss는 Prediction box와 GT box 사이의 L1 loss와 IoU loss의 합으로 계산된다.
728x90